Svenska Vorstehklubben
  • Aktuellt
    • Protokoll från HS och AU
    • Svenska Vorsteh medlemstidning
  • Medlemskap
  • Om SVK
    • Svenska Vorstehklubben
    • Styrelsen
    • Funktionärer
    • Domarkommittén
    • Avelskommittén
    • Exteriörkommittén
    • Jaktkommittén
    • Informationskommittén
    • Internationellt
    • Viltspåransvarig
    • IT-gruppen
    • Kontakta oss
    • Erbjudanden från sponsorer
    • Fullmäktige
    • GDPR
  • Prov/utställningar
    • Jaktprov
    • Träning/prov under hundförbudstiden 2025
    • Avelskonferens & Riksutställning 2026
    • Riksprovet 2025
    • Provperioder 2026
    • Utställningar 2026
    • Ordinarie viltspårprov 2026
    • Domare/provledare
    • Viltspårdomare
    • Anmälan till jakt-, eftersöks- och fullbruksprov
    • Jaktprov 2026 (publik)
  • Lokalavdelningar
    • SVK Gotland
    • SVK Jämtland-Västernorrland
    • SVK Bottenviken
    • SVK Mellansvenska
    • SVK Småland-Östergötland
    • SVK Västerbotten
    • SVK Västsvenska
    • SVK Östra
    • SVK Malmfälten
    • SVK Södra
  • Raser
    • Nyheter från Avelskommittén
    • Anmäla sjukdom eller skada
    • Här hittar du valpkullar
    • Korthårig vorsteh
    • Strävhårig vorsteh
    • Långhårig vorsteh
    • Kleiner münsterländer
    • Grosser münsterländer
    • Ungersk vizsla, korthårig
    • Ungersk vizsla, strävhårig
    • SVK:s uppfödarpremie
    • SVK:s uppfödardiplom HD/ledhälsa
    • Uppfödning
    • BPH
    • Artiklar
    • Avelsstatistik
  • Resultat
    • Provresultat
    • Allmänt
    • Fullbruksprov
    • SVK:s vandringspriser
  • Information
    • Jaktprov
    • Blankett milersättning
    • Arbetsordning och PM
    • Stadgar
    • Regler för championat
    • Allmänna dokument
    • Regelrevidering 2027-2031
    • Manualer
  • Dialog 2022
    • Dialog 2022 - bakgrund
    • Dialog 2022 - Resultat från enkäten
    • Dialog 2022 - öppna svar i enkäten
    • Dialog 2022 - insänt material till SVK
    • SVK i framtiden
  • Logga in
  • Hem »
  • Lokalavdelningar »
  • SVK Västsvenska »
  • Aktuellt
  • Hem
  • Om oss
    • Kontaktuppgifter
    • Var bor vi ?
    • Hantera personuppgifter
    • Klubbens Historia
    • Introduktion för nybörjare
    • Våra Lokala sponsorer
  • Riksutställning 2025
    • Riksutställningen 9/8 2025
    • Vem vann på lotteriet
    • Kennlar som sponsrar
    • Sponsorer till Riksutställningen 2025
    • Resultat Riksutställningen 2025
  • Funktionärer
    • Styrelsen
    • Provledare
    • Domare
    • Resultat-Valberedning/Revisor
    • Viltfogde /Apportvilt
    • Våra Uppfödare
    • Introduktion för nybörjare
    • Jakthunds lydnad träning
  • Web-shop
  • Program
    • Domare/provledare bokade 2026
    • Våra Champions
    • Introduktion för nybörjare
    • Om jaktprov
    • Aktuella Prov
    • Anmälan av Särskilt prov
    • Västsvenskas Viltspårprov (ordinarie /rörligt)
    • FAQ
    • Regelverk Jet1 och Jet2
    • Viltspårprov i SKK Start
  • Avgifter
    • Avgifter
  • Arkiv mm
    • Års/styrelse protokoll
    • Stadgar och reglerverk
    • Historik 2022
    • Historik 2023
  • Vandringspriser
    • Statuter
    • Vandringspriser 2025-2022 Summerat
    • Ukl_Ökl
    • Ekl-Övriga_klubbmästare

Kallelse till årsmötet 21/2 2026

 

 

Årsmöte SVK Västsvenska

Lördagen den 21 februari 2026, kl 14.00
Strömma Naturbruks centrum Sätila  Kartnål

Strömmaskolan 1         511 99 Sätila

 

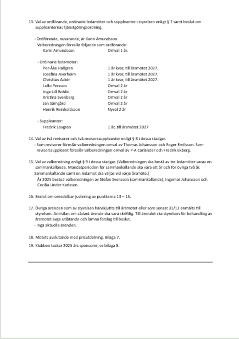
  Bilagor Årsmöteshandlingar 2026

Svenska Vorstehklubben
Svenska Vorstehklubben info@vorsteh.se
Svenska Vorstehklubben
Org.nummer: 802003-7472
Bankgiro 856-4056
Följ SVK på Facebook
Följ Svenska Vorstehklubben på Facebook
  • Aktuellt
  • Medlemskap
  • Om SVK
  • Prov/utställningar
  • Lokalavdelningar
  • Raser
  • Resultat
  • Information
  • Dialog 2022
  • Sök
  • Återställ lösenord
  • Nyheter
  • Logga in